オックスフォード・インストゥルメンツー事業部ページ
拡張
NanoScience | Blog

Chen Guorui博士と上海アプリケーションラボのコラボレーション

オックスフォード・インストゥルメンツ上海アプリケーションラボのユーザーで、カリフォルニア大学バークレー校のポスドクであるChen Guorui博士が筆頭著者として執筆した論文「Tunable correlated Chern insulator and ferromagnetism in a moiré superlattice」がNatureに掲載されました。この研究は、カリフォルニア大学バークレー校のWang Feng教授が主導し、復旦大学のZhang Yuanbo教授、スタンフォード大学のDavid Goldhaber-Gordon教授と共同で行われました。


彼らは、1つの3層グラフェン試料に、超伝導状態、絶縁体状態、強磁性状態が共存していることを発見しました。これは強い電子-電子相互作用の結果であり、グラフェンを高次のチャーン絶縁体(量子ホール絶縁体)にすることに初めて成功したものです。

「この発見は、グラフェンが、単粒子物理学から超伝導、そして今や2次元材料における物質の量子相を研究するトポロジカル物理学に至るまで、様々な物理学を研究するための理想的なプラットフォームであることを示しています」と、チェン博士は語っています。"1 mmの100万分の1の厚さしかない小さなデバイスで新しい物理を探求できるようになったことは、とてもエキサイティングなことです。

上海のアプリケーションラボで、オックスフォード・インストゥルメンツのナノサイエンス・チームとChen博士(中央)

Chen博士のオックスフォード・インストゥルメンツとの出会い

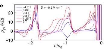
Chen博士は、2019年2月の春節で中国に滞在中、三層グラフェン試料の量子異常ホール効果(QAHE)を測定しようと考えたとき、オックスフォード・インストゥルメンツの経験豊富なユーザーでした。そして、オックスフォード・インストゥルメンツのナノサイエンス上海アプリケーションラボに連絡し、初期研究に当社のTeslatronPTを使用することを提案しました。彼は2週間ほど私たちのラボに滞在し、QAHEの可能性についてエキサイティングなヒントを得ました。下記のデータは、8TのテスラトロンPTで1.5Kで収集したもので、2Tでh/2e2の半量子化抵抗を示しています。

上海アプリケーションラボにおいて収集したデータ

これを見たChen博士は、さらに低い温度でより顕著な信号が観測されることに気づき、米国のスタンフォードに赴き、チャーン数2に等しい完全に発達した半量子状態を測定したのです。

Nature誌に掲載された論文
の中で、Chen博士が当社の上海アプリケーションラボのことをAcknowledgeしてくださったことを大変嬉しく思います。